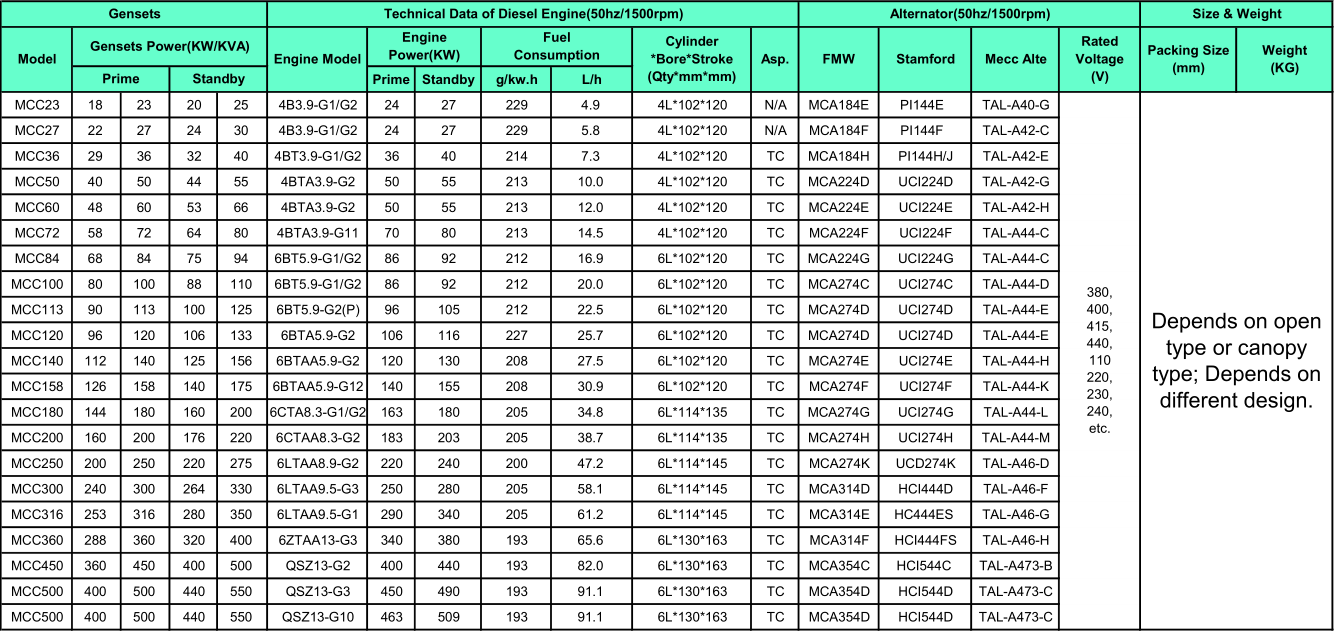
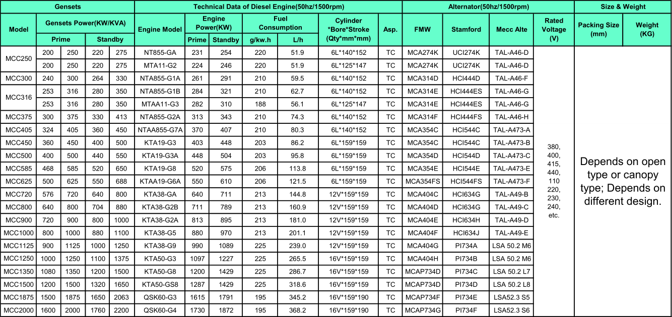
Генератор Cummins почти самый популярный генераторная установка широко используется во всех отраслях промышленности электростанций по всему миру. Глобальная сервисная сеть дизельного двигателя Cummins может предоставлять клиентам надежное и гарантированное обслуживание. Диапазон мощности Генератор Cummins из 24kw вплоть до 1800kw ,
1. Основная характеристика генератора двигателя Cummins
Генератор Dongfeng Cummins

Генератор Chongqing Cummins

2. Генератор Cummins Se T
3. Особенности генератора и область поставки
|
Стандартные детали
|
Дополнительные детали
|
|
Совершенно новый дизельный двигатель Ricardo, Lijia и Styer
|
Оригинальный Стэмфорд, Лерой Сомер и Мекс Альте генератор
|
|
Совершенно новый бесщеточный генератор переменного тока MCA (класс H, IP23, AVR)
|
Автоматическая система управления переключением (A.T.S)
|
|
Тяжелая стальная базовая рама с 8-часовым топливным баком
|
Параллельная система управления генератором
|
|
2MM-4MM стальной звуконепроницаемый навес для бесшумного генератора
|
Индивидуальный топливный бак более 8 часов Бег
|
|
Защитный радиатор с защитной сеткой
|
Тяжелый вес 50 ℃ латунный радиатор
|
|
Прочный антивибрационный амортизатор
|
Deepsea7320, Smartgen6110 или ComAp AMF25 контроллер генератора
|
|
Глушитель промышленного типа с гибким ртом
|
Водонагреватель / масляный нагреватель для экстремально холодной погоды
|
|
Стандартная высокопроизводительная аккумуляторная батарея, не требующая обслуживания
|
Электроника, такая как ABB, Schneider и Siemens
|
|
Контроллер генератора Deepsea6020, Smartgen420 или ComAp MRS11
|
Сверхмощный купольный купол с губка с высокой плотностью
|
|
Низкое давление масла, перегрев, перегрузка и защита от превышения скорости
|
Специальная деталь как ключи из нержавеющей стали, насос для слива масла, пылевой фильтр и т.д
|
|
Государственная стандартная электроника, такая как кабель, выключатель циркуляции, реле, лампа, предохранитель, остановка устройство.
|
Дополнительный двигатель и запасные части генератора фильтр, прокладка, сопло, АВР, выпрямитель
|
|
Набор инструментов с инструкциями по эксплуатации генераторной установки, двигателя и генератора переменного тока
|
Набор инструментов для инструментов Deluxe с различными инструментами для обслуживания
|
4. Критерий и сертификат

5. Преимущество нашего дизельного генератора

① Высококачественные материалы и запчасти
● От винтов, подшипников, шумоглушителей, проводов, вибропоглотителей, реле, AVR, диодов, датчиков, сосен до медной проволоки, стальных пластин, счетчиков, контроллеров, аккумуляторов, AMF, ATS и т. Д.
② Высокообразованная и опытная команда исследований и разработок
● Благодаря высокопрофессиональной исследовательской и опытно-конструкторской команде, не только стандарт FMW power manufactuer надежный генератор качества, но также мощность FMW может спроектировать различные генераторы, такие как сверхшумный генератор, контейнерная электростанция, интеллектуальный генератор в соответствии с уникальными требованиями клиента.
③ Надежная производительность и критерий
Регулирование напряжения:
● Диапазон настройки напряжения свободной нагрузки (95-105)% Un
● Стабильная норма расхода напряжения ± 1,0%
● Tr норма расхода напряжения на уровне ≤ + 20% / - 15%
● Время восстановления напряжения≤1.0S
● Коэффициент флуктуации напряжения ± ± 0,5%
● Коэффициент холодного / горячего состояния≤2%
Частота / скорость Удушение:
● Измените нагрузку от 0 до 100%, соотношение скорости и скорости в пределах 5%.
● Нагрузка от 25-100%, постоянная нагрузка Частота / Скорость волны в пределах 0,25%
Фактор воздействия на телекоммуникации:
● TIF (MA MG1-22) лучше, чем 50
● THF (BS EN60034) лучше, чем 2%
Критерий:
● ISO8528, GB / T2820
● EN12601: 2001, EN60034-22: 1997, EN60204-1: 2006
● ISO9001: 2008 Система контроля качества
● Сопротивление изоляции Испытано в соответствии с GB5226.1-2002-19.3
● Противоположное напряжение Протестировано в соответствии с GB7 55-2000-8,1 (с 1500 В на 60 ° С)
● Все электрические запчасти, проверенные в соответствии с с GB5226.1-2002-19.6
● Механическая защита, протестированная в соответствии с с GB / T820.8-2002-6.3
● Испытание на огнестойкость в соответствии с GB / T2820.8-20 02-6.4 / 6,5
● Все генераторные установки проверяются строго на 25%, 50%, 75%, 100% и 110% нагрузки.